IGBT模块工作环境温湿度条件解析
IEC 60721-3-3标准把气候条件分成5类:
3K20:温度湿度连续可控,而且经常有人维护,比如用于室内产品。
3K21:温度可控,湿度不连续可控。 比如机房,数据中心等。
3K22: 温度可控,湿度不可控。
3K23:温度湿度都不可控,可能会结冰。
3K24:温度湿度都不可控,直接暴露在空气中。
标准中规定的详细工作条件如下表所示。在工业变频器应用中,功率半导体器件允许工作的环境条件如3K22 这列所描述,器件的所有可靠性测试也基本按照这个条件定义并确定测试规范。
从上表可以看出,除了温度和压力之外,3K22还规定了相对湿度(相对湿度等于实际水汽含量相比于同温度下饱和水汽量)允许范围是5%-85%,而且不允许有凝露,此外绝对湿度最高值为25g/m3。根据热力学原理,因为绝对湿度不变,即空气含有水蒸气的量不变,温度上升意味着空气含水蒸汽的饱和量加大了,而实际含水蒸汽的量并没有发生变化,这样实际含水蒸汽的量占饱和量的比例就缩小了,所以相对湿度减小。 相反,如果温度下降意味着空气含有水蒸气的饱和量变小了,而实际含水蒸汽的量没有变化,这样实际含水蒸汽的量占饱和量的比例就加大了,相对湿度就上升了。因此为了避免凝露,需要根据柜体外部的温度适当调整柜内温度。
下面结合温度,相对湿度,绝对湿度图来说明具体的工作条件变化。图中横轴为温度,纵轴为相对湿度,斜线是绝对湿度,从右到左绝对湿度逐渐减小(Cabs=1 表示绝对湿度为1 g/m3,Cabs=2 表示绝对湿度为2 g/m3,以此类推Cabs=25 表示绝对湿度为25 g/m3)。3K22 的工作范围如图中红色数字1-2-3-4-5-1曲线所包围的区域。

1点画虚线表示绝对湿度25g/m3
2对应温度40度不变的曲线
3包括绝对湿度1g/m3和相对湿度5%相交的包络线(更详细的可以参照IEC 60721-3-3 图B.1)
4温度为5度不变的曲线
5表示最高相对湿度85%。
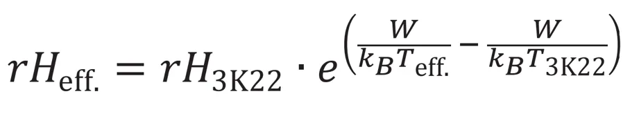
假设IGBT 工作的变频柜大气条件如图中蓝色方块所示(绝对湿度8-25 g/m3,相对湿度最高85%,温度12-33度)。 根据热力学定律,对于体积一定的密闭空气,当绝对湿度不变,温度变化时,可以依据下面的公式计算温度增加后对应的相对湿度。
其中T3k22, rH 3k22 是标准3K22给出的温度以及对应的相对湿度
Teff 是考虑自加热后的器件温度, rH eff 为该温度下计算后对应的相对湿度
W,KB是常数
依据上面的公式,当该设备处于运行状态时,温度升高10度,绝对湿度保持不变,因此其工作条件就变为图中橙色的范围,从中可以看出,相对最高湿度从85%有减小到50%,而且相对湿度的范围也相应减小。如果温升为20度,相对湿度会进一步减小到30%,因此随着温度的提高相对湿度会显著下降。
结论





